材料测试

基于我司矢网的液体&固态材料测试系统,是一种经济,性能优异的解决方案。材料的介电常数、耗损角正切及磁导率等指标快速可得。
首页 系统方案 材料测试

材料测试

价格:
暂无
分类:
暂无
说明:
基于我司矢网的液体&固态材料测试系统,是一种经济,性能优异的解决方案。材料的介电常数、耗损角正切及磁导率等指标快速可得。

现代电子系统日趋复杂,大量的新材料被广泛地应用到各种电子系统中。作为介质材料被 应用的场景很多,例如 PCB 的基板材料、天线的天线罩、大功率真空器件使用的陶瓷材料、 液晶材料等。在这些应用场景中,用户需要对材料的电气性能,尤其是作为介质的电气性能有 足够准确的评估和认识,以便缩短设计周期、提升产品质量。通过对介质材料的介电性能进行准确测量,可以为研发、设计和生产场景提供第一手的数据,以便优化设计、改善工艺。传统大厂的解决方案非常昂贵!

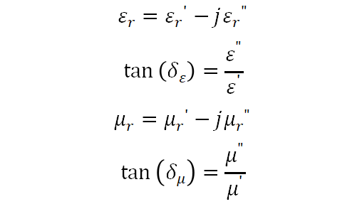
我司的便携式矢网具有尺寸小、重量轻、性价比高及支持二次开发等特点在系统集成方面具有台式矢网无法比拟的优 势,可以为客户减少成本。介质材料的介电性能主要体现为相对复介电常数 [εr]、相对复磁导 率 [µr] 两方面,电损耗角正切 [tan(δε )] 和磁损耗角正切 [tan(δμ )] 作为评估介质材料耗散性能 的参数也常常被纳入考虑。在实际操作中,需要经常测量的参数包括:

4404_fagy_2450.png

下表显示了材料测试解决方案适用的行业和场景。

行业

应用场景

 

 

电子

PCB 板材和基片

PCB 天线

铁氧体

磁头

SAR 体膜材料

传感器

 

工业材料

陶瓷和复合材料:IC 封装、零部件、涂料、水泥

聚合物和塑料:纤维、基片、薄膜、塑料、绝缘材料

液晶材料、水凝胶

橡胶、半导体材料和超导体材料

其他新型复合介质材料

 

国防、航空航天

雷达波吸波材料

雷达、通信、对抗电子设备天线罩

真空器件陶瓷基片

军用特种添加材料

 

食品和农业

食品防腐烂监控和研究

微波加热研究

含水率检测

林业和矿业

木材和纸制品含水率测量、含油量分析

 


随机推荐